Back to Quick Facts
Carbohydrates are the standard fuel for the body. They are easily broken down into more basic sugars, AKA “simple sugars” (glucose, fructose, and galactose) which are easily absorbed through the intestines to the blood stream and utilized by the cells of the body for energy. Glucose is the primary source of energy for the body. Each sugar has its own means of absorption, as well as its own function within the body. For example, glucose is absorbed in the small intestine, and can be utilized by any cell within the body, as a means of energy. When glucose levels raise too high in the blood, the pancreas releases insulin to regulate the body’s cells update of glucose, to lower the blood’s glucose level, by having the cells absorb glucose from the blood stream.
Fructose on the other hand, can be absorbed into the blood and also utilized as energy, but isn’t as easily taken into the cells. In order for fructose to be absorbed by the small intestine, glucose must be used to pass it through the cell membranes. If the concentrations of this sugar become too high, within the blood, the method for removing it is via the liver, to process the sugar into a form of body fat known as triglycerides. If the levels are high enough the molecules are secreted through the kidneys.
Sugar molecules are much too large for the kidneys to properly filter (like pressing coffee grounds through a coffee filter) and they can cause substantial damage to the kidney, if this is maintained for a long period of time. These are the primary reasons high fructose corn syrup (HFCS) is so bad for the body. HFCS is a 55%/45% mix of glucose/fructose sugars, which give maximum absorption rates for both, while the glucose is utilized for energy, and the fructose is utilized for triglyceride formation. When fructose is consumed via fruits/vegetables, the fructose quantity is much lower, and the fiber content in the food slows absorption and digestion, allowing the fructose to be used for energy rather than for triglyceride formation.

Glucose Molecule
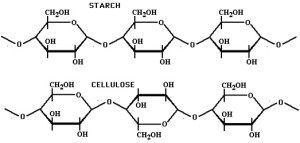
Simple sugars combine in various ways to form complex carbohydrates. Disaccharides are 2 simple sugars linked together, while multiple chains are called polysaccharides. Poly’s form everything from heavy starches to the cell walls of plants. Starches are able to be broken down by human digestion, while cellulose, the main component of a plant’s cell wall, cannot. This is one of the primary constituents of “insoluble fiber” when eating plants and vegetables. Seen in the image below, the very minor differences between cellulose and starch are the bonds between glucose molecules “invert” every other molecule. While this may seem basic, the formation of cellulose is so simply different, that the body has no enzyme to break the chain and as such, it passes through the digestive tract, un-touched.

You can clearly see how there are 3 glucose molecules in each example, linked together.
Carbohydrates yield 4 Calories per gram when digested. As they are sugars, the only use for this within the body, is energy. When carbohydrates are taken into the body, the teeth break large molecular groups into smaller pieces. These pieces mix with salivary amylase (an enzyme in human saliva) and begin digestion into smaller more basic simpler sugars. The stomach does not digest any sugar at all; the pancreas secretes an assortment of amylase enzymes into the duodenum (the first part of the small intestine) which breaks down all remaining saccharides into simple sugars, which are absorbed through the small intestine lining. If the sugars are not properly absorbed, or digested, they can be fermented by intestinal microbes, which produce gas, and irritation.
If 4000 calories of carbohydrates is consumed, and 400 calories of energy is used, the left over 3600 calories are stored, for future use. If that “future” is not met in a short period of time, that sugar will be converted over to triglycerides, which will then be stored in larger “long term storage” known as adipose tissue. This tissue, adipose, is also known as body fat.
Proceed to Proteins
Authored by Christopher J. Herrington, DC 2014
Page updated 6/1/2014
Information retrieved from:
Katsilambros, N. (2010). Clinical nutrition in practice. Chichester, West Sussex, U.K.: Wiley-Blackwell.
Rolfes, S. R., & Pinna, K. (2009). Understanding normal and clinical nutrition (8th ed.). Belmont, CA: Wadsworth/Cengage Learning.
Wardlaw, G. M., & Smith, A. M. (2007). Contemporary nutrition (6th ed.). Boston: McGraw-Hill Higher Education.
